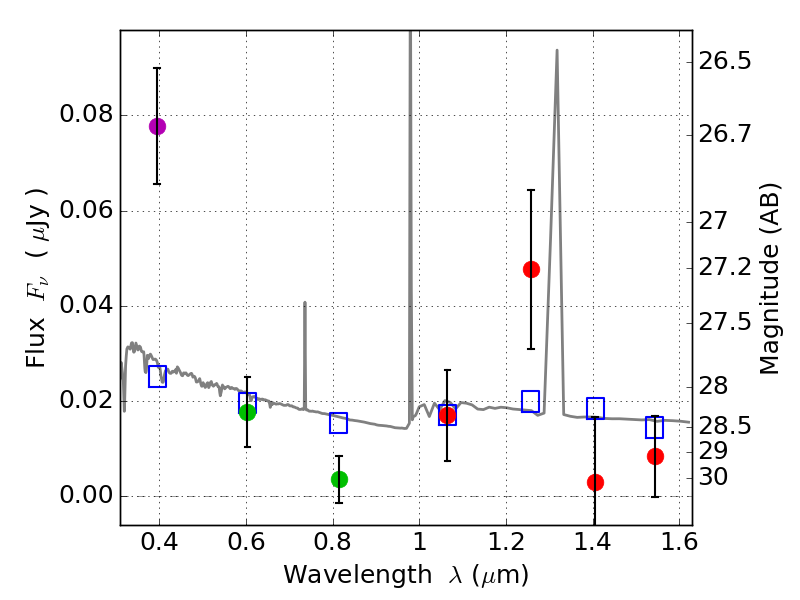
RXS0603+42-N IR detection object #6747

Color images and BPZ results
Catalog: 6747.cat
Black segments are analyzed here.   Roll mouse over color images to view segments.
Best viewed in a wide browser window (1200 pixels or more).   Download SED & P(z) plots to view larger versions.
In P(z) plots: Yellow lines mark the cluster redshift z = 0.228,  

Object #6747   x,y = (2963, 1274)   RA, Dec = (06:03:11.640, 42:14:34.08) = (90.79850, 42.24280)   BPZ = 1.627 [0.844--2.402]   type = 11.00 (SB11_A_0_l)   stellarity = 0.37   chisq2 = 7.02   ODDS = 0.34   z_cluster = 0.228