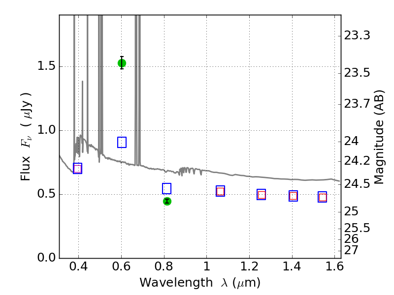
RXS0603+42-N IR detection object #674

Color images and BPZ results
Catalog: 674.cat
Black segments are analyzed here.   Roll mouse over color images to view segments.
Best viewed in a wide browser window (1200 pixels or more).   Download SED & P(z) plots to view larger versions.
In P(z) plots: Yellow lines mark the cluster redshift z = 0.228,  

Object #674   x,y = (2037, 3462)   RA, Dec = (06:03:16.656, 42:16:45.48) = (90.81940, 42.27930)   BPZ = 0.016 [0.010--0.031]   type = 11.00 (SB11_A_0_l)   stellarity = 0.91   chisq2 = 65.96   ODDS = 1.00   z_cluster = 0.228