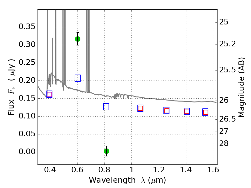
RXS0603+42-N IR detection object #6724

Color images and BPZ results
Catalog: 6724.cat
Black segments are analyzed here.   Roll mouse over color images to view segments.
Best viewed in a wide browser window (1200 pixels or more).   Download SED & P(z) plots to view larger versions.
In P(z) plots: Yellow lines mark the cluster redshift z = 0.228,  

Object #6724   x,y = (1098, 1281)   RA, Dec = (06:03:21.720, 42:14:34.44) = (90.84050, 42.24290)   BPZ = 0.019 [0.010--0.040]   type = 11.00 (SB11_A_0_l)   stellarity = 0.65   chisq2 = 63.48   ODDS = 1.00   z_cluster = 0.228