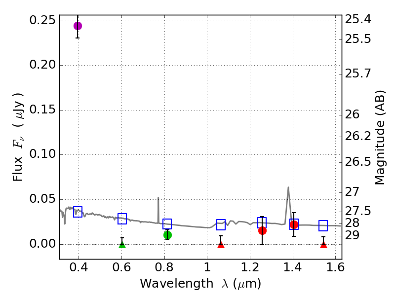
RXS0603+42-N IR detection object #6688

Color images and BPZ results
Catalog: 6688.cat
Black segments are analyzed here.   Roll mouse over color images to view segments.
Best viewed in a wide browser window (1200 pixels or more).   Download SED & P(z) plots to view larger versions.
In P(z) plots: Yellow lines mark the cluster redshift z = 0.228,  

Object #6688   x,y = (3213, 1289)   RA, Dec = (06:03:10.296, 42:14:35.16) = (90.79290, 42.24310)   BPZ = 1.761 [1.425--2.074]   type = 11.00 (SB11_A_0_l)   stellarity = 0.71   chisq2 = 61.48   ODDS = 0.58   z_cluster = 0.228