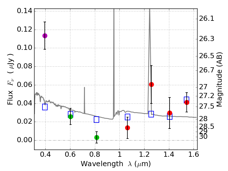
RXS0603+42-N IR detection object #6630

Color images and BPZ results
Catalog: 6630.cat
Black segments are analyzed here.   Roll mouse over color images to view segments.
Best viewed in a wide browser window (1200 pixels or more).   Download SED & P(z) plots to view larger versions.
In P(z) plots: Yellow lines mark the cluster redshift z = 0.228,  

Object #6630   x,y = (3261, 1304)   RA, Dec = (06:03:10.032, 42:14:35.88) = (90.79180, 42.24330)   BPZ = 1.559 [1.211--2.264]   type = 11.00 (SB11_A_0_l)   stellarity = 0.47   chisq2 = 9.33   ODDS = 0.27   z_cluster = 0.228