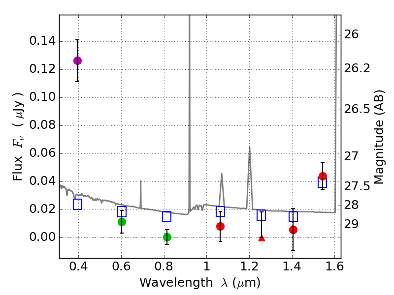
RXS0603+42-N IR detection object #6573

Color images and BPZ results
Catalog: 6573.cat
Black segments are analyzed here.   Roll mouse over color images to view segments.
Best viewed in a wide browser window (1200 pixels or more).   Download SED & P(z) plots to view larger versions.
In P(z) plots: Yellow lines mark the cluster redshift z = 0.228,  

Object #6573   x,y = (2551, 1315)   RA, Dec = (06:03:13.872, 42:14:36.60) = (90.80780, 42.24350)   BPZ = 1.469 [1.170--2.332]   type = 11.00 (SB11_A_0_l)   stellarity = 0.60   chisq2 = 13.72   ODDS = 0.46   z_cluster = 0.228