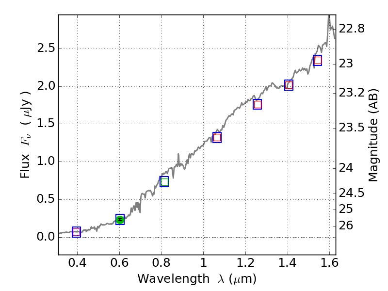
RXS0603+42-N IR detection object #6566

Color images and BPZ results
Catalog: 6566.cat
Black segments are analyzed here.   Roll mouse over color images to view segments.
Best viewed in a wide browser window (1200 pixels or more).   Download SED & P(z) plots to view larger versions.
In P(z) plots: Yellow lines mark the cluster redshift z = 0.228,  

Object #6566   x,y = (995, 1320)   RA, Dec = (06:03:22.272, 42:14:36.96) = (90.84280, 42.24360)   BPZ = 0.759 [0.193--4.716]   type = 6.00 (Sbc_B10)   stellarity = 0.86   chisq2 = 990.00   ODDS = 0.08   z_cluster = 0.228