RXS0603+42-N IR detection object #6545

Color images and BPZ results
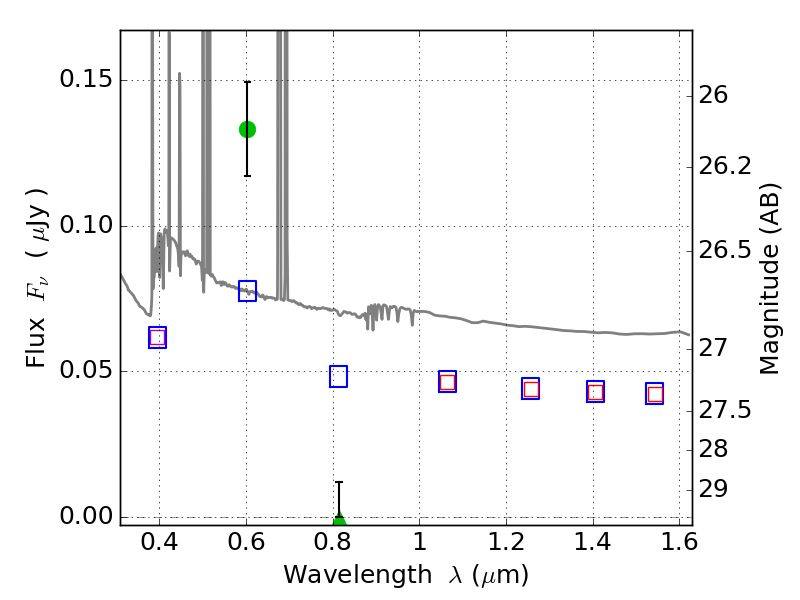
Catalog: 6545.cat
Black segments are analyzed here.   Roll mouse over color images to view segments.
Best viewed in a wide browser window (1200 pixels or more).   Download SED & P(z) plots to view larger versions.
In P(z) plots: Yellow lines mark the cluster redshift z = 0.228,  

Object #6545   x,y = (1190, 1275)   RA, Dec = (06:03:21.216, 42:14:34.08) = (90.83840, 42.24280)   BPZ = 0.027 [0.019--3.031]   type = 11.00 (SB11_A_0_l)   stellarity = 0.70   chisq2 = 24.45   ODDS = 0.13   z_cluster = 0.228