RXS0603+42-N IR detection object #6539

Color images and BPZ results
Catalog: 6539.cat
Black segments are analyzed here.   Roll mouse over color images to view segments.
Best viewed in a wide browser window (1200 pixels or more).   Download SED & P(z) plots to view larger versions.
In P(z) plots: Yellow lines mark the cluster redshift z = 0.228,  

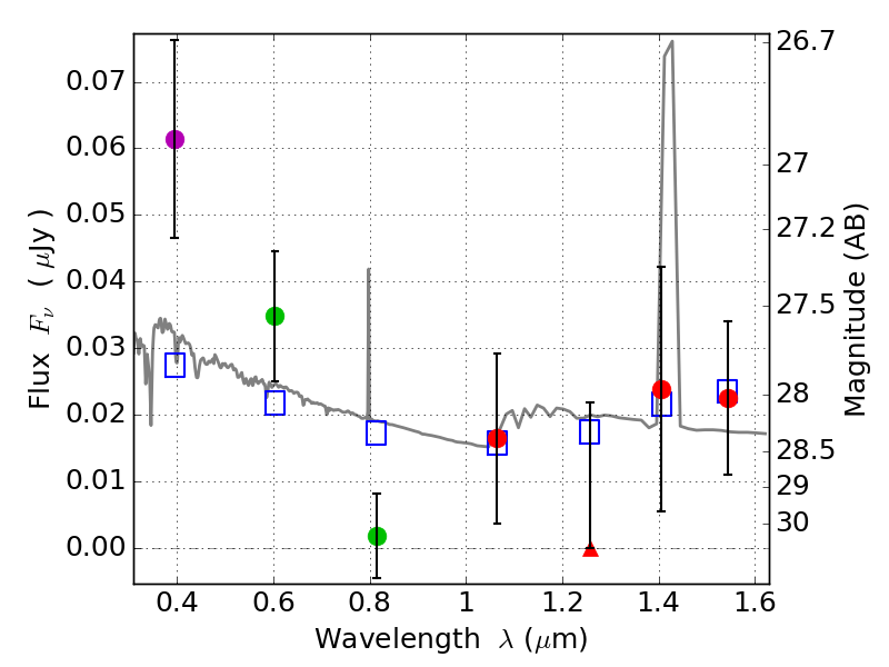
Object #6539   x,y = (2052, 1522)   RA, Dec = (06:03:16.560, 42:14:49.20) = (90.81900, 42.24700)   BPZ = 1.852 [0.829--2.796]   type = 11.00 (SB11_A_0_l)   stellarity = 0.36   chisq2 = 3.28   ODDS = 0.21   z_cluster = 0.228