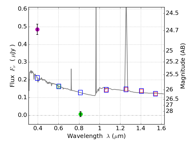
RXS0603+42-N IR detection object #6526

Color images and BPZ results
Catalog: 6526.cat
Black segments are analyzed here.   Roll mouse over color images to view segments.
Best viewed in a wide browser window (1200 pixels or more).   Download SED & P(z) plots to view larger versions.
In P(z) plots: Yellow lines mark the cluster redshift z = 0.228,  

Object #6526   x,y = (4205, 1336)   RA, Dec = (06:03:04.944, 42:14:37.68) = (90.77060, 42.24380)   BPZ = 1.594 [1.435--1.876]   type = 11.00 (SB11_A_0_l)   stellarity = 0.97   chisq2 = 106.80   ODDS = 0.66   z_cluster = 0.228