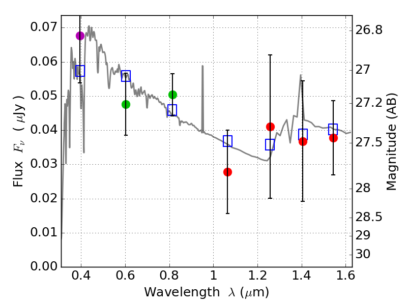
RXS0603+42-N IR detection object #6483

Color images and BPZ results
Catalog: 6483.cat
Black segments are analyzed here.   Roll mouse over color images to view segments.
Best viewed in a wide browser window (1200 pixels or more).   Download SED & P(z) plots to view larger versions.
In P(z) plots: Yellow lines mark the cluster redshift z = 0.228,  

Object #6483   x,y = (3453, 1344)   RA, Dec = (06:03:09.000, 42:14:38.40) = (90.78750, 42.24400)   BPZ = 2.396 [0.254--2.717]   type = 11.00 (SB11_A_0_l)   stellarity = 0.37   chisq2 = 0.55   ODDS = 0.20   z_cluster = 0.228