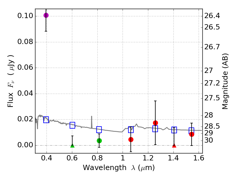
RXS0603+42-N IR detection object #6479

Color images and BPZ results
Catalog: 6479.cat
Black segments are analyzed here.   Roll mouse over color images to view segments.
Best viewed in a wide browser window (1200 pixels or more).   Download SED & P(z) plots to view larger versions.
In P(z) plots: Yellow lines mark the cluster redshift z = 0.228,  

Object #6479   x,y = (3118, 1346)   RA, Dec = (06:03:10.800, 42:14:38.40) = (90.79500, 42.24400)   BPZ = 1.700 [0.644--2.593]   type = 11.00 (SB11_A_0_l)   stellarity = 0.39   chisq2 = 12.45   ODDS = 0.24   z_cluster = 0.228