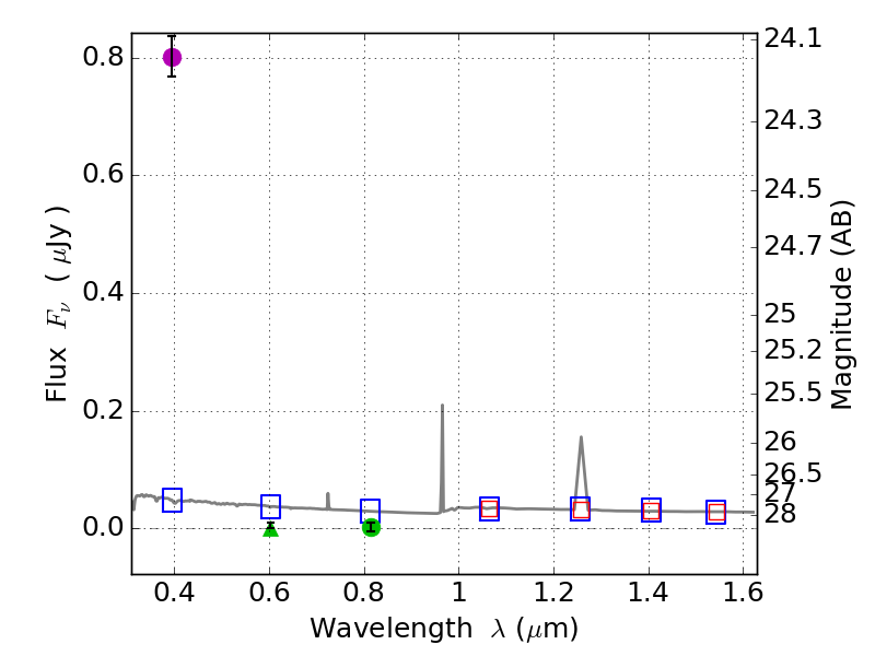
RXS0603+42-N IR detection object #6449

Color images and BPZ results
Catalog: 6449.cat
Black segments are analyzed here.   Roll mouse over color images to view segments.
Best viewed in a wide browser window (1200 pixels or more).   Download SED & P(z) plots to view larger versions.
In P(z) plots: Yellow lines mark the cluster redshift z = 0.228,  

Object #6449   x,y = (1234, 1356)   RA, Dec = (06:03:20.976, 42:14:39.12) = (90.83740, 42.24420)   BPZ = 1.593 [1.167--2.062]   type = 11.00 (SB11_A_0_l)   stellarity = 0.99   chisq2 = 519.10   ODDS = 0.37   z_cluster = 0.228