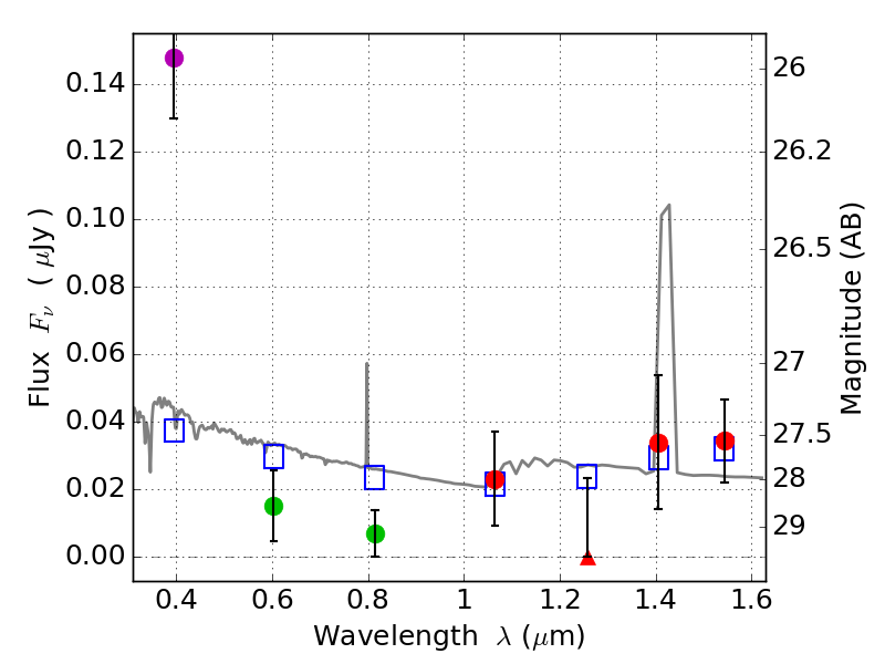
RXS0603+42-N IR detection object #6434

Color images and BPZ results
Catalog: 6434.cat
Black segments are analyzed here.   Roll mouse over color images to view segments.
Best viewed in a wide browser window (1200 pixels or more).   Download SED & P(z) plots to view larger versions.
In P(z) plots: Yellow lines mark the cluster redshift z = 0.228,  

Object #6434   x,y = (2187, 1542)   RA, Dec = (06:03:15.840, 42:14:50.28) = (90.81600, 42.24730)   BPZ = 1.852 [1.125--2.311]   type = 11.00 (SB11_A_0_l)   stellarity = 0.38   chisq2 = 11.14   ODDS = 0.25   z_cluster = 0.228