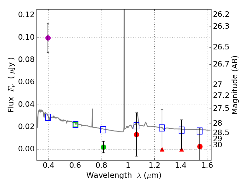
RXS0603+42-N IR detection object #6427

Color images and BPZ results
Catalog: 6427.cat
Black segments are analyzed here.   Roll mouse over color images to view segments.
Best viewed in a wide browser window (1200 pixels or more).   Download SED & P(z) plots to view larger versions.
In P(z) plots: Yellow lines mark the cluster redshift z = 0.228,  

Object #6427   x,y = (4036, 1361)   RA, Dec = (06:03:05.856, 42:14:39.48) = (90.77440, 42.24430)   BPZ = 1.612 [0.957--2.427]   type = 11.00 (SB11_A_0_l)   stellarity = 0.39   chisq2 = 12.47   ODDS = 0.29   z_cluster = 0.228