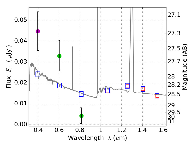
RXS0603+42-N IR detection object #6389

Color images and BPZ results
Catalog: 6389.cat
Black segments are analyzed here.   Roll mouse over color images to view segments.
Best viewed in a wide browser window (1200 pixels or more).   Download SED & P(z) plots to view larger versions.
In P(z) plots: Yellow lines mark the cluster redshift z = 0.228,  

Object #6389   x,y = (1455, 1376)   RA, Dec = (06:03:19.800, 42:14:40.20) = (90.83250, 42.24450)   BPZ = 1.596 [1.135--2.523]   type = 11.00 (SB11_A_0_l)   stellarity = 0.37   chisq2 = 14.82   ODDS = 0.24   z_cluster = 0.228