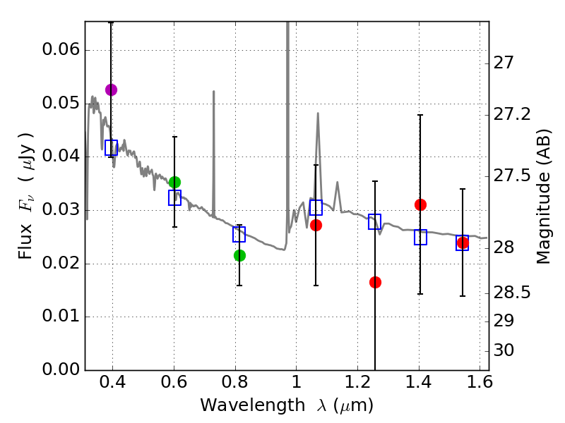
RXS0603+42-N IR detection object #6361

Color images and BPZ results
Catalog: 6361.cat
Black segments are analyzed here.   Roll mouse over color images to view segments.
Best viewed in a wide browser window (1200 pixels or more).   Download SED & P(z) plots to view larger versions.
In P(z) plots: Yellow lines mark the cluster redshift z = 0.228,  

Object #6361   x,y = (3363, 1384)   RA, Dec = (06:03:09.480, 42:14:40.92) = (90.78950, 42.24470)   BPZ = 1.612 [0.590--2.680]   type = 11.00 (SB11_A_0_l)   stellarity = 0.46   chisq2 = 0.44   ODDS = 0.20   z_cluster = 0.228