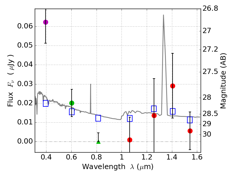
RXS0603+42-N IR detection object #6360

Color images and BPZ results
Catalog: 6360.cat
Black segments are analyzed here.   Roll mouse over color images to view segments.
Best viewed in a wide browser window (1200 pixels or more).   Download SED & P(z) plots to view larger versions.
In P(z) plots: Yellow lines mark the cluster redshift z = 0.228,  

Object #6360   x,y = (3926, 1385)   RA, Dec = (06:03:06.456, 42:14:40.92) = (90.77690, 42.24470)   BPZ = 1.693 [0.781--2.585]   type = 11.00 (SB11_A_0_l)   stellarity = 0.47   chisq2 = 5.87   ODDS = 0.27   z_cluster = 0.228