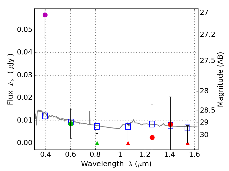
RXS0603+42-N IR detection object #6333

Color images and BPZ results
Catalog: 6333.cat
Black segments are analyzed here.   Roll mouse over color images to view segments.
Best viewed in a wide browser window (1200 pixels or more).   Download SED & P(z) plots to view larger versions.
In P(z) plots: Yellow lines mark the cluster redshift z = 0.228,  

Object #6333   x,y = (3247, 1395)   RA, Dec = (06:03:10.104, 42:14:41.28) = (90.79210, 42.24480)   BPZ = 1.697 [0.350--5.023]   type = 11.00 (SB11_A_0_l)   stellarity = 0.39   chisq2 = 5.89   ODDS = 0.15   z_cluster = 0.228