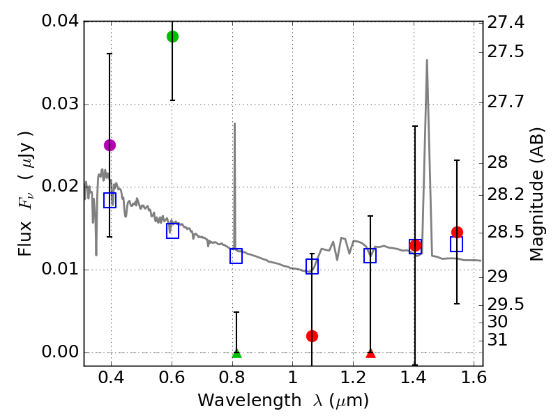
RXS0603+42-N IR detection object #6327

Color images and BPZ results
Catalog: 6327.cat
Black segments are analyzed here.   Roll mouse over color images to view segments.
Best viewed in a wide browser window (1200 pixels or more).   Download SED & P(z) plots to view larger versions.
In P(z) plots: Yellow lines mark the cluster redshift z = 0.228,  

Object #6327   x,y = (1891, 1397)   RA, Dec = (06:03:17.448, 42:14:41.64) = (90.82270, 42.24490)   BPZ = 1.889 [0.331--3.163]   type = 11.00 (SB11_A_0_l)   stellarity = 0.14   chisq2 = 3.98   ODDS = 0.15   z_cluster = 0.228