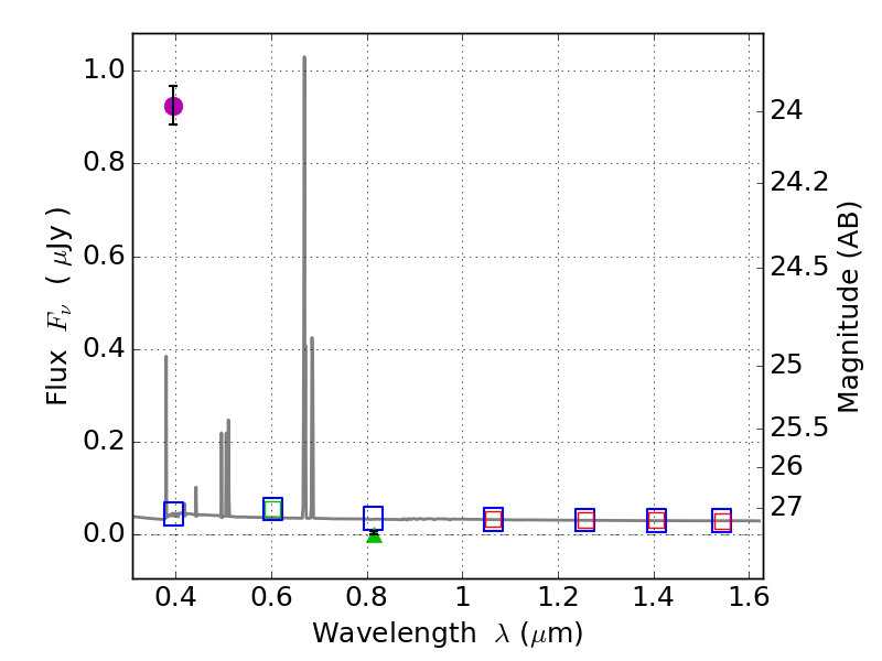
RXS0603+42-N IR detection object #6300

Color images and BPZ results
Catalog: 6300.cat
Black segments are analyzed here.   Roll mouse over color images to view segments.
Best viewed in a wide browser window (1200 pixels or more).   Download SED & P(z) plots to view larger versions.
In P(z) plots: Yellow lines mark the cluster redshift z = 0.228,  

Object #6300   x,y = (4200, 1388)   RA, Dec = (06:03:04.968, 42:14:40.92) = (90.77070, 42.24470)   BPZ = 0.022 [0.010--0.389]   type = 11.00 (SB11_A_0_l)   stellarity = 0.69   chisq2 = 453.00   ODDS = 0.94   z_cluster = 0.228