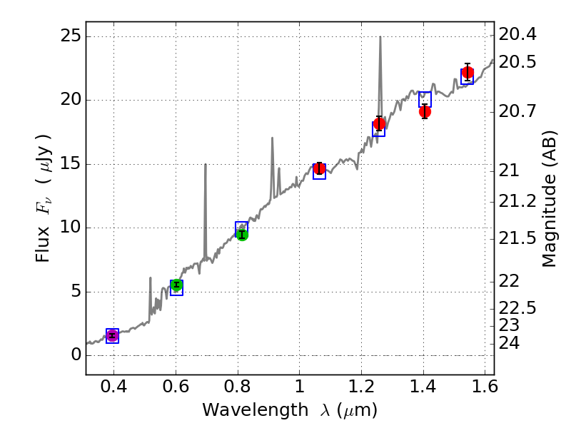
RXS0603+42-N IR detection object #6264

Color images and BPZ results
Catalog: 6264.cat
Black segments are analyzed here.   Roll mouse over color images to view segments.
Best viewed in a wide browser window (1200 pixels or more).   Download SED & P(z) plots to view larger versions.
In P(z) plots: Yellow lines mark the cluster redshift z = 0.228,  

Object #6264   x,y = (2044, 1302)   RA, Dec = (06:03:16.608, 42:14:35.88) = (90.81920, 42.24330)   BPZ = 0.389 [0.131--0.447]   type = 6.60 (Scd_B10 - Sbc_B10)   stellarity = 0.00   chisq2 = 0.15   ODDS = 0.36   z_cluster = 0.228