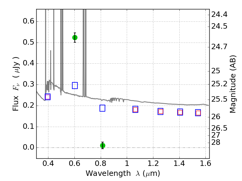
RXS0603+42-N IR detection object #6252

Color images and BPZ results
Catalog: 6252.cat
Black segments are analyzed here.   Roll mouse over color images to view segments.
Best viewed in a wide browser window (1200 pixels or more).   Download SED & P(z) plots to view larger versions.
In P(z) plots: Yellow lines mark the cluster redshift z = 0.228,  

Object #6252   x,y = (993, 1422)   RA, Dec = (06:03:22.296, 42:14:43.08) = (90.84290, 42.24530)   BPZ = 0.017 [0.010--0.034]   type = 11.00 (SB11_A_0_l)   stellarity = 0.98   chisq2 = 108.30   ODDS = 1.00   z_cluster = 0.228