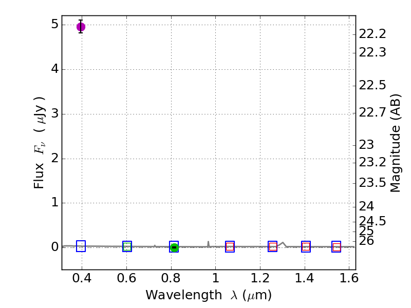
RXS0603+42-N IR detection object #6232

Color images and BPZ results
Catalog: 6232.cat
Black segments are analyzed here.   Roll mouse over color images to view segments.
Best viewed in a wide browser window (1200 pixels or more).   Download SED & P(z) plots to view larger versions.
In P(z) plots: Yellow lines mark the cluster redshift z = 0.228,  

Object #6232   x,y = (4275, 1425)   RA, Dec = (06:03:04.560, 42:14:43.08) = (90.76900, 42.24530)   BPZ = 1.596 [0.440--6.533]   type = 11.00 (SB11_A_0_l)   stellarity = 0.99   chisq2 = 1119.00   ODDS = 0.14   z_cluster = 0.228