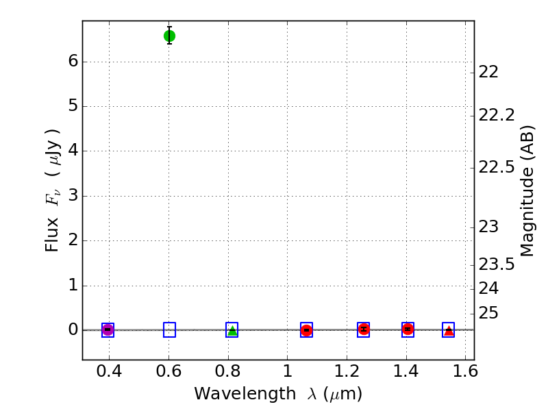
RXS0603+42-N IR detection object #6231

Color images and BPZ results
Catalog: 6231.cat
Black segments are analyzed here.   Roll mouse over color images to view segments.
Best viewed in a wide browser window (1200 pixels or more).   Download SED & P(z) plots to view larger versions.
In P(z) plots: Yellow lines mark the cluster redshift z = 0.228,  

Object #6231   x,y = (4060, 1426)   RA, Dec = (06:03:05.712, 42:14:43.08) = (90.77380, 42.24530)   BPZ = 0.373 [0.078--1.870]   type = 7.00 (Scd_B10)   stellarity = 0.65   chisq2 = 287.50   ODDS = 0.13   z_cluster = 0.228