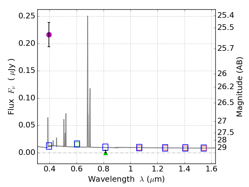
RXS0603+42-N IR detection object #6228

Color images and BPZ results
Catalog: 6228.cat
Black segments are analyzed here.   Roll mouse over color images to view segments.
Best viewed in a wide browser window (1200 pixels or more).   Download SED & P(z) plots to view larger versions.
In P(z) plots: Yellow lines mark the cluster redshift z = 0.228,  

Object #6228   x,y = (4243, 1429)   RA, Dec = (06:03:04.728, 42:14:43.44) = (90.76970, 42.24540)   BPZ = 0.037 [0.026--0.853]   type = 11.00 (SB11_A_0_l)   stellarity = 0.83   chisq2 = 89.36   ODDS = 0.12   z_cluster = 0.228