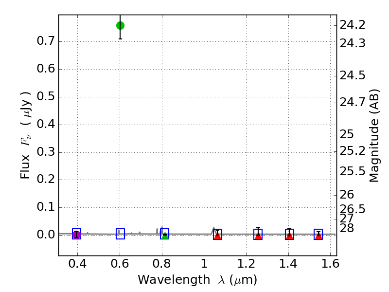
RXS0603+42-N IR detection object #6137

Color images and BPZ results
Catalog: 6137.cat
Black segments are analyzed here.   Roll mouse over color images to view segments.
Best viewed in a wide browser window (1200 pixels or more).   Download SED & P(z) plots to view larger versions.
In P(z) plots: Yellow lines mark the cluster redshift z = 0.228,  

Object #6137   x,y = (4078, 1460)   RA, Dec = (06:03:05.616, 42:14:45.24) = (90.77340, 42.24590)   BPZ = 0.605 [0.141--3.520]   type = 11.00 (SB11_A_0_l)   stellarity = 0.73   chisq2 = 58.35   ODDS = 0.09   z_cluster = 0.228