RXS0603+42-N IR detection object #6133

Color images and BPZ results
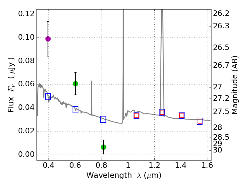
Catalog: 6133.cat
Black segments are analyzed here.   Roll mouse over color images to view segments.
Best viewed in a wide browser window (1200 pixels or more).   Download SED & P(z) plots to view larger versions.
In P(z) plots: Yellow lines mark the cluster redshift z = 0.228,  

Object #6133   x,y = (1356, 1466)   RA, Dec = (06:03:20.328, 42:14:45.60) = (90.83470, 42.24600)   BPZ = 1.595 [1.315--2.257]   type = 11.00 (SB11_A_0_l)   stellarity = 0.37   chisq2 = 27.64   ODDS = 0.33   z_cluster = 0.228