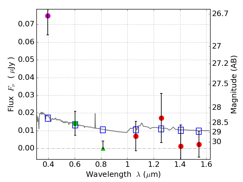
RXS0603+42-N IR detection object #6119

Color images and BPZ results
Catalog: 6119.cat
Black segments are analyzed here.   Roll mouse over color images to view segments.
Best viewed in a wide browser window (1200 pixels or more).   Download SED & P(z) plots to view larger versions.
In P(z) plots: Yellow lines mark the cluster redshift z = 0.228,  

Object #6119   x,y = (2336, 1475)   RA, Dec = (06:03:15.048, 42:14:46.32) = (90.81270, 42.24620)   BPZ = 1.700 [0.600--2.611]   type = 11.00 (SB11_A_0_l)   stellarity = 0.47   chisq2 = 8.92   ODDS = 0.30   z_cluster = 0.228