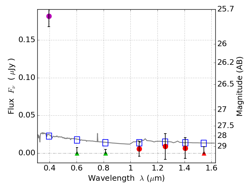
RXS0603+42-N IR detection object #6106

Color images and BPZ results
Catalog: 6106.cat
Black segments are analyzed here.   Roll mouse over color images to view segments.
Best viewed in a wide browser window (1200 pixels or more).   Download SED & P(z) plots to view larger versions.
In P(z) plots: Yellow lines mark the cluster redshift z = 0.228,  

Object #6106   x,y = (2234, 1479)   RA, Dec = (06:03:15.576, 42:14:46.32) = (90.81490, 42.24620)   BPZ = 1.699 [0.971--2.292]   type = 11.00 (SB11_A_0_l)   stellarity = 0.58   chisq2 = 34.65   ODDS = 0.41   z_cluster = 0.228