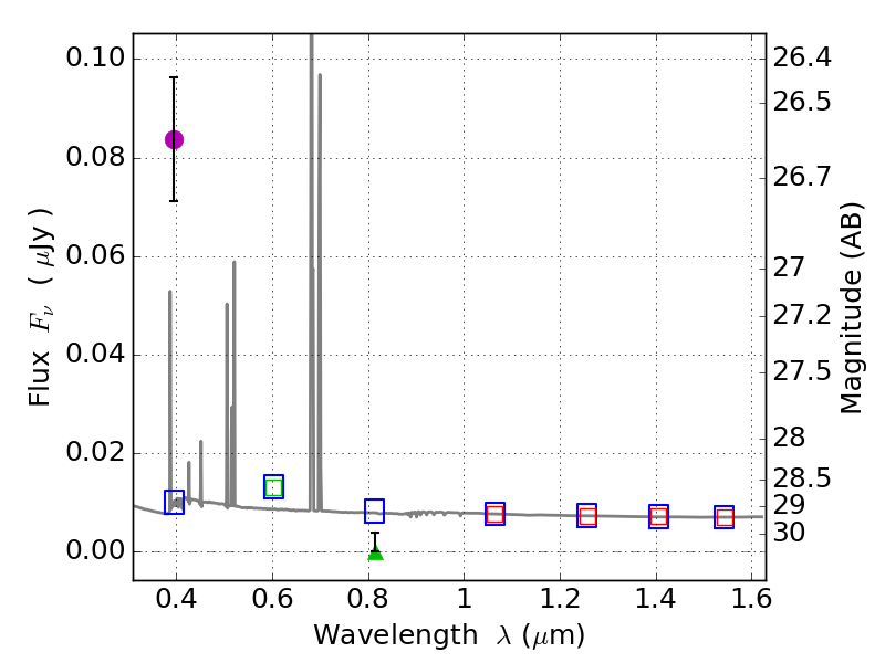
RXS0603+42-N IR detection object #6083

Color images and BPZ results
Catalog: 6083.cat
Black segments are analyzed here.   Roll mouse over color images to view segments.
Best viewed in a wide browser window (1200 pixels or more).   Download SED & P(z) plots to view larger versions.
In P(z) plots: Yellow lines mark the cluster redshift z = 0.228,  

Object #6083   x,y = (4185, 1486)   RA, Dec = (06:03:05.040, 42:14:46.68) = (90.77100, 42.24630)   BPZ = 0.037 [0.026--0.852]   type = 11.00 (SB11_A_0_l)   stellarity = 0.59   chisq2 = 38.92   ODDS = 0.12   z_cluster = 0.228