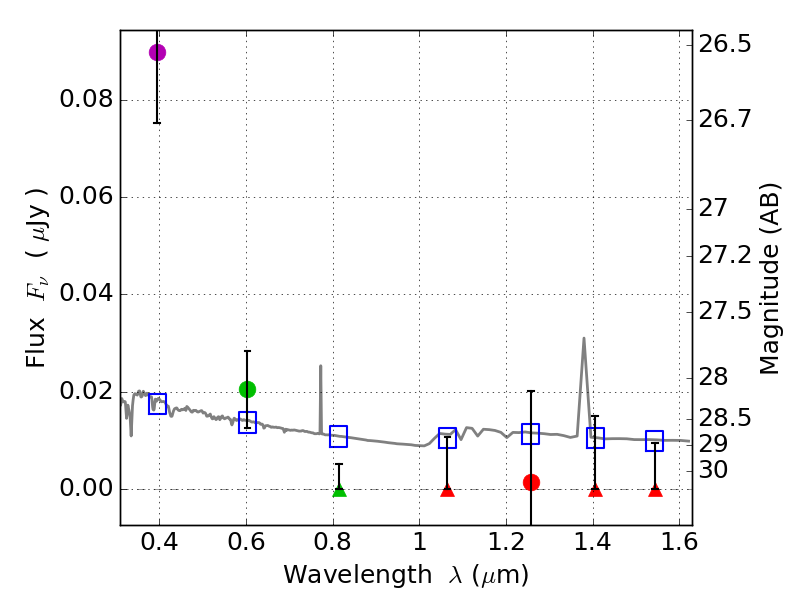
RXS0603+42-N IR detection object #6081

Color images and BPZ results
Catalog: 6081.cat
Black segments are analyzed here.   Roll mouse over color images to view segments.
Best viewed in a wide browser window (1200 pixels or more).   Download SED & P(z) plots to view larger versions.
In P(z) plots: Yellow lines mark the cluster redshift z = 0.228,  

Object #6081   x,y = (2128, 1486)   RA, Dec = (06:03:16.152, 42:14:46.68) = (90.81730, 42.24630)   BPZ = 1.763 [0.345--3.354]   type = 11.00 (SB11_A_0_l)   stellarity = 0.53   chisq2 = 7.99   ODDS = 0.19   z_cluster = 0.228