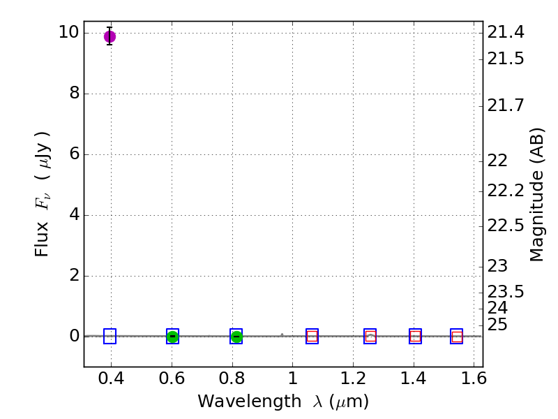
RXS0603+42-N IR detection object #6068

Color images and BPZ results
Catalog: 6068.cat
Black segments are analyzed here.   Roll mouse over color images to view segments.
Best viewed in a wide browser window (1200 pixels or more).   Download SED & P(z) plots to view larger versions.
In P(z) plots: Yellow lines mark the cluster redshift z = 0.228,  

Object #6068   x,y = (1167, 1534)   RA, Dec = (06:03:21.360, 42:14:49.56) = (90.83900, 42.24710)   BPZ = 1.590 [0.346--8.226]   type = 11.00 (SB11_A_0_l)   stellarity = 1.00   chisq2 = 1146.00   ODDS = 0.08   z_cluster = 0.228