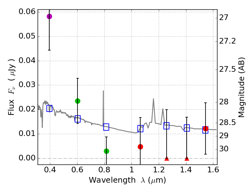
RXS0603+42-N IR detection object #6067

Color images and BPZ results
Catalog: 6067.cat
Black segments are analyzed here.   Roll mouse over color images to view segments.
Best viewed in a wide browser window (1200 pixels or more).   Download SED & P(z) plots to view larger versions.
In P(z) plots: Yellow lines mark the cluster redshift z = 0.228,  

Object #6067   x,y = (2089, 1488)   RA, Dec = (06:03:16.368, 42:14:47.04) = (90.81820, 42.24640)   BPZ = 1.828 [0.399--3.452]   type = 11.00 (SB11_A_0_l)   stellarity = 0.36   chisq2 = 3.01   ODDS = 0.16   z_cluster = 0.228