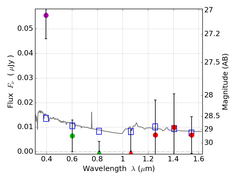
RXS0603+42-N IR detection object #6046

Color images and BPZ results
Catalog: 6046.cat
Black segments are analyzed here.   Roll mouse over color images to view segments.
Best viewed in a wide browser window (1200 pixels or more).   Download SED & P(z) plots to view larger versions.
In P(z) plots: Yellow lines mark the cluster redshift z = 0.228,  

Object #6046   x,y = (3551, 1519)   RA, Dec = (06:03:08.472, 42:14:48.84) = (90.78530, 42.24690)   BPZ = 1.696 [0.474--3.899]   type = 11.00 (SB11_A_0_l)   stellarity = 0.36   chisq2 = 5.96   ODDS = 0.17   z_cluster = 0.228