RXS0603+42-N IR detection object #6030

Color images and BPZ results
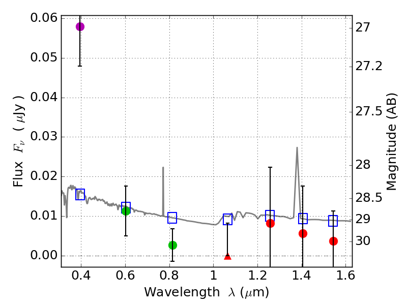
Catalog: 6030.cat
Black segments are analyzed here.   Roll mouse over color images to view segments.
Best viewed in a wide browser window (1200 pixels or more).   Download SED & P(z) plots to view larger versions.
In P(z) plots: Yellow lines mark the cluster redshift z = 0.228,  

Object #6030   x,y = (2081, 1504)   RA, Dec = (06:03:16.416, 42:14:47.76) = (90.81840, 42.24660)   BPZ = 1.762 [0.500--2.935]   type = 11.00 (SB11_A_0_l)   stellarity = 0.53   chisq2 = 5.47   ODDS = 0.21   z_cluster = 0.228