RXS0603+42-N IR detection object #6012

Color images and BPZ results
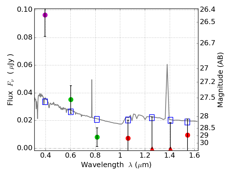
Catalog: 6012.cat
Black segments are analyzed here.   Roll mouse over color images to view segments.
Best viewed in a wide browser window (1200 pixels or more).   Download SED & P(z) plots to view larger versions.
In P(z) plots: Yellow lines mark the cluster redshift z = 0.228,  

Object #6012   x,y = (1902, 1506)   RA, Dec = (06:03:17.376, 42:14:48.12) = (90.82240, 42.24670)   BPZ = 1.764 [0.777--2.592]   type = 11.00 (SB11_A_0_l)   stellarity = 0.36   chisq2 = 5.86   ODDS = 0.28   z_cluster = 0.228