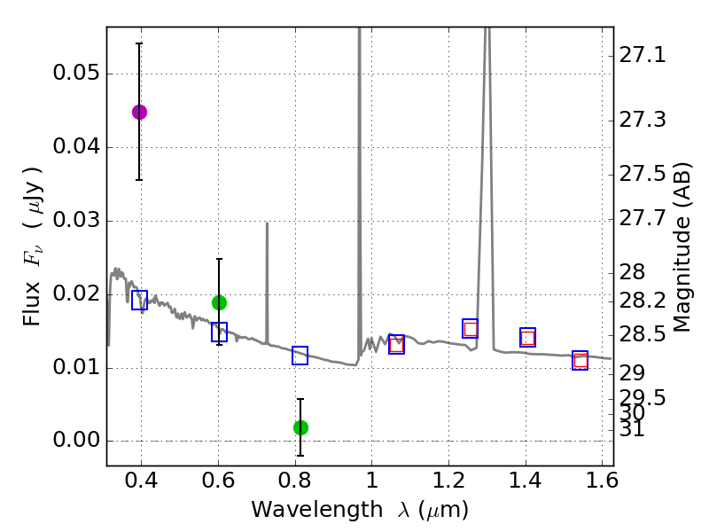
RXS0603+42-N IR detection object #5994

Color images and BPZ results
Catalog: 5994.cat
Black segments are analyzed here.   Roll mouse over color images to view segments.
Best viewed in a wide browser window (1200 pixels or more).   Download SED & P(z) plots to view larger versions.
In P(z) plots: Yellow lines mark the cluster redshift z = 0.228,  

Object #5994   x,y = (1613, 1539)   RA, Dec = (06:03:18.936, 42:14:49.92) = (90.82890, 42.24720)   BPZ = 1.597 [0.876--2.633]   type = 11.00 (SB11_A_0_l)   stellarity = 0.36   chisq2 = 13.71   ODDS = 0.21   z_cluster = 0.228