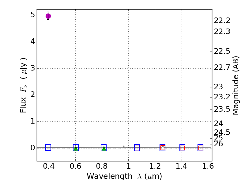
RXS0603+42-N IR detection object #598

Color images and BPZ results
Catalog: 598.cat
Black segments are analyzed here.   Roll mouse over color images to view segments.
Best viewed in a wide browser window (1200 pixels or more).   Download SED & P(z) plots to view larger versions.
In P(z) plots: Yellow lines mark the cluster redshift z = 0.228,  

Object #598   x,y = (2171, 3516)   RA, Dec = (06:03:15.936, 42:16:48.72) = (90.81640, 42.28020)   BPZ = 1.595 [0.398--8.897]   type = 11.00 (SB11_A_0_l)   stellarity = 0.93   chisq2 = 1129.00   ODDS = 0.08   z_cluster = 0.228