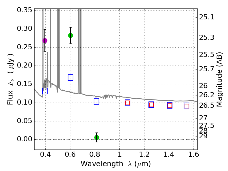
RXS0603+42-N IR detection object #5963

Color images and BPZ results
Catalog: 5963.cat
Black segments are analyzed here.   Roll mouse over color images to view segments.
Best viewed in a wide browser window (1200 pixels or more).   Download SED & P(z) plots to view larger versions.
In P(z) plots: Yellow lines mark the cluster redshift z = 0.228,  

Object #5963   x,y = (3546, 1230)   RA, Dec = (06:03:08.496, 42:14:31.56) = (90.78540, 42.24210)   BPZ = 0.019 [0.010--1.968]   type = 11.00 (SB11_A_0_l)   stellarity = 0.00   chisq2 = 76.02   ODDS = 0.53   z_cluster = 0.228