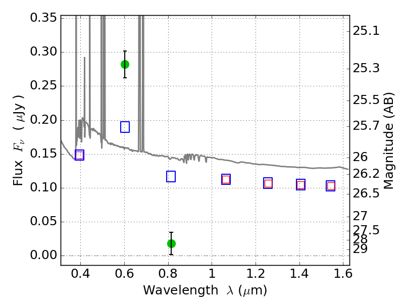
RXS0603+42-N IR detection object #5903

Color images and BPZ results
Catalog: 5903.cat
Black segments are analyzed here.   Roll mouse over color images to view segments.
Best viewed in a wide browser window (1200 pixels or more).   Download SED & P(z) plots to view larger versions.
In P(z) plots: Yellow lines mark the cluster redshift z = 0.228,  

Object #5903   x,y = (1112, 1509)   RA, Dec = (06:03:21.648, 42:14:48.12) = (90.84020, 42.24670)   BPZ = 0.021 [0.010--0.046]   type = 11.00 (SB11_A_0_l)   stellarity = 0.67   chisq2 = 38.56   ODDS = 1.00   z_cluster = 0.228