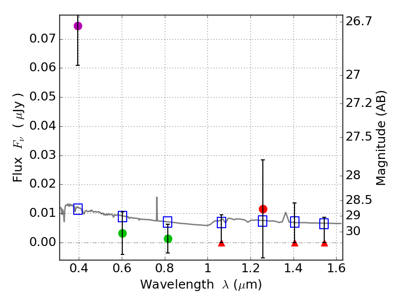
RXS0603+42-N IR detection object #5884

Color images and BPZ results
Catalog: 5884.cat
Black segments are analyzed here.   Roll mouse over color images to view segments.
Best viewed in a wide browser window (1200 pixels or more).   Download SED & P(z) plots to view larger versions.
In P(z) plots: Yellow lines mark the cluster redshift z = 0.228,  

Object #5884   x,y = (2043, 1544)   RA, Dec = (06:03:16.608, 42:14:50.28) = (90.81920, 42.24730)   BPZ = 1.730 [0.340--7.833]   type = 11.00 (SB11_A_0_l)   stellarity = 0.10   chisq2 = 6.14   ODDS = 0.10   z_cluster = 0.228