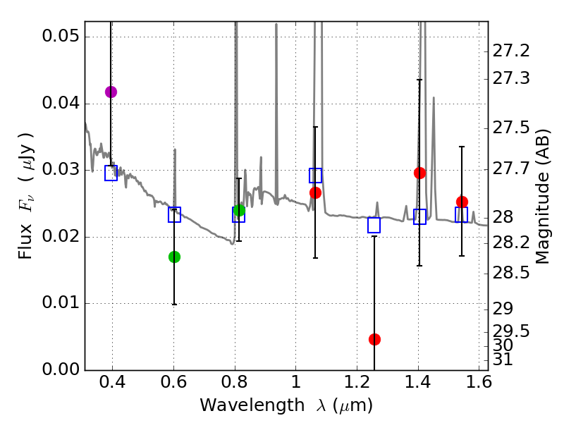
RXS0603+42-N IR detection object #5853

Color images and BPZ results
Catalog: 5853.cat
Black segments are analyzed here.   Roll mouse over color images to view segments.
Best viewed in a wide browser window (1200 pixels or more).   Download SED & P(z) plots to view larger versions.
In P(z) plots: Yellow lines mark the cluster redshift z = 0.228,  

Object #5853   x,y = (2052, 1553)   RA, Dec = (06:03:16.560, 42:14:51.00) = (90.81900, 42.24750)   BPZ = 1.162 [0.378--2.737]   type = 10.70 (SB11_A_0_l - SB3_B10)   stellarity = 0.36   chisq2 = 0.86   ODDS = 0.10   z_cluster = 0.228