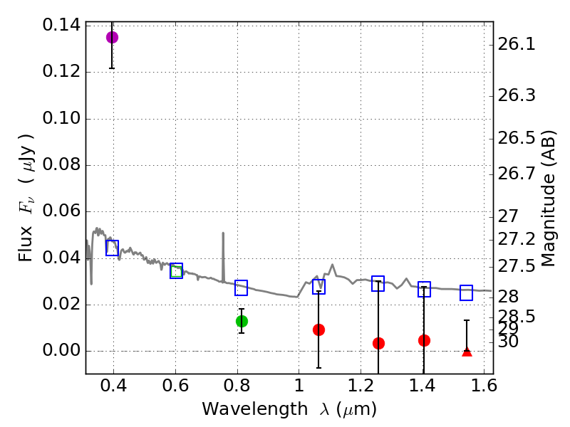
RXS0603+42-N IR detection object #5837

Color images and BPZ results
Catalog: 5837.cat
Black segments are analyzed here.   Roll mouse over color images to view segments.
Best viewed in a wide browser window (1200 pixels or more).   Download SED & P(z) plots to view larger versions.
In P(z) plots: Yellow lines mark the cluster redshift z = 0.228,  

Object #5837   x,y = (4114, 1556)   RA, Dec = (06:03:05.424, 42:14:51.00) = (90.77260, 42.24750)   BPZ = 1.701 [1.348--2.179]   type = 11.00 (SB11_A_0_l)   stellarity = 0.50   chisq2 = 18.19   ODDS = 0.53   z_cluster = 0.228