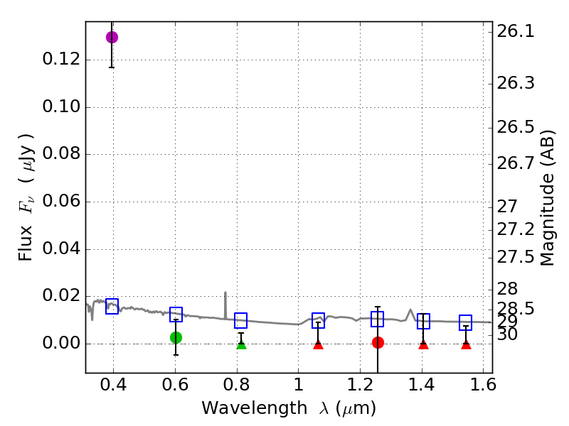
RXS0603+42-N IR detection object #5831

Color images and BPZ results
Catalog: 5831.cat
Black segments are analyzed here.   Roll mouse over color images to view segments.
Best viewed in a wide browser window (1200 pixels or more).   Download SED & P(z) plots to view larger versions.
In P(z) plots: Yellow lines mark the cluster redshift z = 0.228,  

Object #5831   x,y = (3802, 1558)   RA, Dec = (06:03:07.104, 42:14:51.00) = (90.77960, 42.24750)   BPZ = 1.732 [0.553--4.076]   type = 11.00 (SB11_A_0_l)   stellarity = 0.66   chisq2 = 21.42   ODDS = 0.25   z_cluster = 0.228