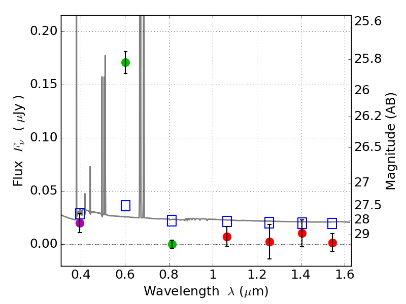
RXS0603+42-N IR detection object #5825

Color images and BPZ results
Catalog: 5825.cat
Black segments are analyzed here.   Roll mouse over color images to view segments.
Best viewed in a wide browser window (1200 pixels or more).   Download SED & P(z) plots to view larger versions.
In P(z) plots: Yellow lines mark the cluster redshift z = 0.228,  

Object #5825   x,y = (3988, 1560)   RA, Dec = (06:03:06.120, 42:14:51.36) = (90.77550, 42.24760)   BPZ = 0.022 [0.010--0.068]   type = 11.00 (SB11_A_0_l)   stellarity = 0.75   chisq2 = 48.08   ODDS = 0.97   z_cluster = 0.228