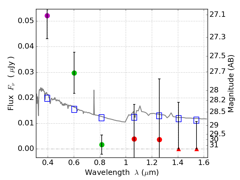
RXS0603+42-N IR detection object #5812

Color images and BPZ results
Catalog: 5812.cat
Black segments are analyzed here.   Roll mouse over color images to view segments.
Best viewed in a wide browser window (1200 pixels or more).   Download SED & P(z) plots to view larger versions.
In P(z) plots: Yellow lines mark the cluster redshift z = 0.228,  

Object #5812   x,y = (4057, 1565)   RA, Dec = (06:03:05.736, 42:14:51.72) = (90.77390, 42.24770)   BPZ = 1.701 [0.956--2.566]   type = 11.00 (SB11_A_0_l)   stellarity = 0.42   chisq2 = 6.11   ODDS = 0.31   z_cluster = 0.228