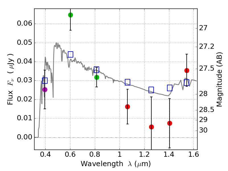
RXS0603+42-N IR detection object #5805

Color images and BPZ results
Catalog: 5805.cat
Black segments are analyzed here.   Roll mouse over color images to view segments.
Best viewed in a wide browser window (1200 pixels or more).   Download SED & P(z) plots to view larger versions.
In P(z) plots: Yellow lines mark the cluster redshift z = 0.228,  

Object #5805   x,y = (2784, 1569)   RA, Dec = (06:03:12.624, 42:14:51.72) = (90.80260, 42.24770)   BPZ = 2.812 [0.043--3.183]   type = 11.00 (SB11_A_0_l)   stellarity = 0.36   chisq2 = 3.03   ODDS = 0.53   z_cluster = 0.228