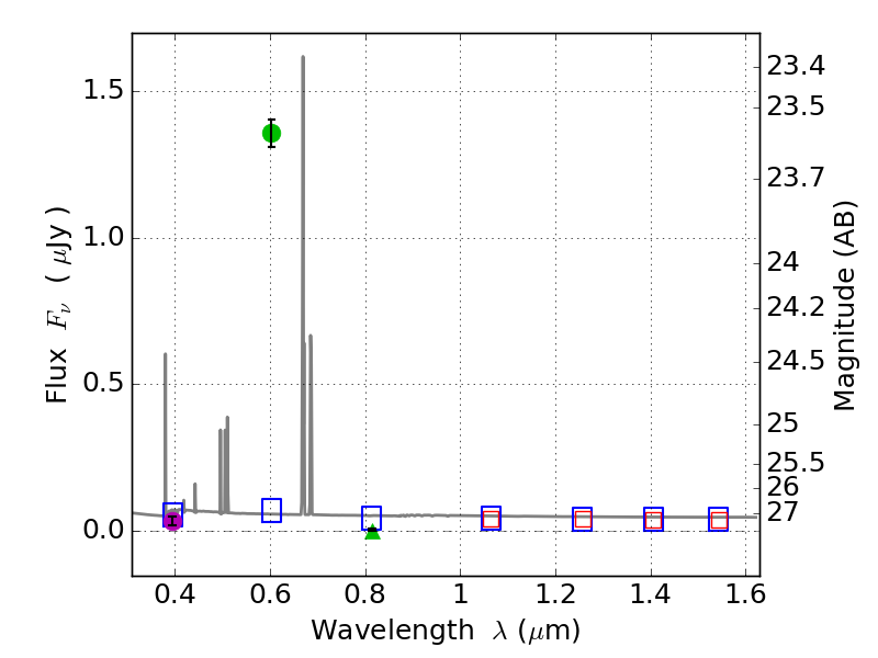
RXS0603+42-N IR detection object #580

Color images and BPZ results
Catalog: 580.cat
Black segments are analyzed here.   Roll mouse over color images to view segments.
Best viewed in a wide browser window (1200 pixels or more).   Download SED & P(z) plots to view larger versions.
In P(z) plots: Yellow lines mark the cluster redshift z = 0.228,  

Object #580   x,y = (2934, 3525)   RA, Dec = (06:03:11.808, 42:16:49.08) = (90.79920, 42.28030)   BPZ = 0.022 [0.010--1.441]   type = 11.00 (SB11_A_0_l)   stellarity = 0.89   chisq2 = 794.10   ODDS = 0.97   z_cluster = 0.228