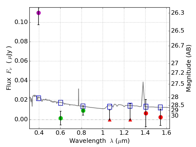
RXS0603+42-N IR detection object #5791

Color images and BPZ results
Catalog: 5791.cat
Black segments are analyzed here.   Roll mouse over color images to view segments.
Best viewed in a wide browser window (1200 pixels or more).   Download SED & P(z) plots to view larger versions.
In P(z) plots: Yellow lines mark the cluster redshift z = 0.228,  

Object #5791   x,y = (2962, 1571)   RA, Dec = (06:03:11.664, 42:14:52.08) = (90.79860, 42.24780)   BPZ = 1.763 [0.669--2.445]   type = 11.00 (SB11_A_0_l)   stellarity = 0.57   chisq2 = 14.90   ODDS = 0.29   z_cluster = 0.228